発表論文
- 2026
- 2025
- 2024
- 2023
- 2022
- 2021
- 2020
- 2019
- 2018
- 2017
- 2016
- 2015
- 2014
- 2013
- 2012
- 2011
- 2010
- 2009
- 2008
- 2007
- 2006
- 2005
- 2004
2026
-
A Sequential Iodination–Fluorodeiodination of the Cubane Scaffold
Quentin Fevre-Renault, Masaki Hosaka, Sébastien Depienne, Robin Heinrich, Matthieu Hedouin, Hassan Oulyadi, Catherine Fressigné, Shota Nagasawa, Yoshiharu Iwabuchi, Alison M. Stuart, Bruno Linclau*, and Michaël De Paolis*Org. Lett. 2026, 28, 4680−4685

-
Alkyne Two-Phase Strategy: Rapid Generation of TK-285-Derived PROTACs as BRD4 Degraders
Hiroyuki Yamakoshi*, Ryo Watanabe, Ryosuke Segawa, Ryosuke Ishihara, Ryo Tachibana, Genki Kudo, Shota Nagasawa, Satoshi Yamanaka, Ayano Ito, Hiroyuki Takeda, Tatsuya Sawasaki, Ryunosuke Yoshino, Takatsugu Hirokawa, Takayuki Doi, Noriyasu Hirasawa, and Yoshiharu Iwabuchi*J. Med. Chem. 2026, 69, 8388-8416
(Press Release)
-
Asymmetric Aerobic Intramolecular Dearomative ortho Coupling of Tethered Phenols by Chromium-Salen Complex/Nitroxyl Radical Catalysis
Shota Nagasawa, Nao Yokota, Shogo Fujiki, Yusuke Sasano, Yoshiharu Iwabuchi*Chem. Pharm. Bull. 2026, 74, 127-131

-
Air-Stable Tetrazene Radical Cation Salts: Structural Requirements and Oxidation Catalysts
Ayari Oshiro, Yusuke Sasano*, Shu Saito, Yasuyuki Araki, Soichiro Sugiyama, Eunsang Kwon, Shinji Kajimoto, Yuse Kuriyama, Shohei Yoshinaga, Masaya Takahashi, Katsuhiko Sato, Naoki Shida, Yusuke Ishigaki, Mahito Atobe, Yoshiharu Iwabuchi*J. Am. Chem. Soc. 2026, 148, 632-639
(Press Release)

2025
-
Visualizing Thiol Stress Responses in Cells with a Water-Soluble Raman Sensor
Hiroyuki Yamakoshi*, Meichen Wang, Keisuke Koga, Shinji Kajimoto, Yuse Kuriyama, Yusuke Sasano, Takaaki Akaike, Yoshiharu Iwabuchi, Takakazu NakabayashiAnal. Chem. 2025, 97 25398–25405

-
In-cell proximity target validation methods for heterobifunctional molecules with CRBN- or VHL-binder using AirID
Kohdai Yamada, Satoshi Yamanaka, Hiroyuki Yamakoshi, Aki Kohyama, Yoshiharu Iwabuchi, Hidetaka Kosako*, Tatsuya Sawasaki*
-
Expanding Terpenoid Chemical Space Through Radical-Mediated Remodeling of the 4-nor-(3Z,7E)-Neodolabellane Framework
-
Silver-Catalyzed Asymmetric Synthesis of 1,3-Substituted Cuneanes: An Application to a Chiral Isostere of meta-Substituted Benzenes
Kan Fujiwara, Shota Nagasawa*, Atsushi Tahara, Yoshiharu Iwabuchi*ChemRxiv, 2025, DOI: 10.26434/chemrxiv-2025-f0080
preprint
-
Amide-Directed C–H Acetoxylation of Cubanes
-
Design and Synthesis of a 3-Arylenoyltetramic Acid Library Employing a Consecutive Three-Component Coupling
Miho Yoshiki, Shiori Koyama, Hironao Kobayashi, Shotaro Mimura, Tomonari Ri, Hiromichi Nishiyama, Yusuke Sasano, Yoshiharu Iwabuchi, Junko Fujimoto, Aoi Kimishima, Masako Honsho, Hiromasa Yokoe, Kazutada Ikeuchi, Yukihiro Asami, and Naoki Kanoh*J. Org. Chem. 2025, 29, 10338–10351

-
A unified approach to highly functionalized clovane-type terpenoids: enantiocontrolled total synthesis of rumphellclovane E and sarinfacetamides A and B
Daigo Ninomiya, Shota Nagasawa, Yoshiharu IwabuchiChemical Science 2025, 16, 15707
(Press Release)
(Chem-Station スポットライトリサーチ)
-
かご型炭化水素キュバン・クネアンの創薬応用を志向した精密有機合成化学
-
Photocatalytic Tandem Ueno–Stork Cyclization/Intermolecular Giese Addition Sequence for Stereoselective Difunctionalization of Allylic Alcohols
2024
-
Oxoammonium salts exert antiviral effects against coronavirus via denaturation of their spike proteins
Ryosuke Segawa, Yusuke Sasano, Yusuke Hatakawa, Yuto Fujisawa, Shuhei Akutsu, Masanobu Uchimura, Ami Ikura, Kota Matsumoto, Kazuki Sone, Tomoyuki Oe, Yoshiharu Iwabuchi, Masashi Ito, Noriyasu Hirasawa*
-
Strategy for C–H Functionalization of Cubanes: From Stoichiometric Reaction to Catalytic Methodology
-
Recent Progress in Accessing Multi-functionalized Caged Hydrocarbons: En Route to Highly Functionalized Saturated (Bio)isosteres of Benzene Rings
-
Development of a fluorous trapping reagent for rapid detection of electrophilic reactive metabolites
-
Controlled Aerobic Oxidative Dimerization of Hydroxystilbenoids by Chromium Catalysis
Shota Nagasawa, Yudai Itagaki, Yusuke Sasano, and Yoshiharu Iwabuchi*Org. Lett. 2024, 26, 4178–4182

-
Design, Synthesis, and Biological Evaluation of Water-Soluble Prodrugs of C5-Curcuminoid GO-Y030 Based on Reversible Thia-Michael Reaction
Hiroyuki Yamakoshi*, Michihiro Fukuda, Hiro Ikeda, Shogo Fujiki, Aki Kohyama, Shota Nagasawa, Hanae Shinozaki, Hiroyuki Shibata, Yoshiharu Iwabuchi*Chem. Phrm. Bull. 2024, 72, 127-134

-
C–H Alkylation of Cubanes via Catalytic Generation of Cubyl Radicals
2023
-
Ratiometric analysis of reversible thia-Michael reactions using nitrile-tagged molecules by Raman microscopy
Hiroyuki Yamakoshi*, Daiki Shibata, Kazuki Bando, Shinji Kajimoto, Aki Kohyama, Syusuke Egoshi, Kosuke Dodo, Yoshiharu Iwabuchi, Mikiko Sodeoka, Katsumasa Fujita and Takakazu Nakabayashi (Press Release)
-
Biological Evaluation of Isosteric Applicability of 1,3-Substituted Cuneanes as m-Substituted Benzenes Enabled by Selective Isomerization of 1,4-Substituted Cubanes
Kan Fujiwara, Shota Nagasawa*, Ryusei Maeyama, Ryosuke Segawa, Noriyasu Hirasawa, Takatsugu Hirokawa, Yoshiharu Iwabuchi*Chem. Eur. J. 2023, e202303548
(Press Release)
-
Azetidine synthesis by La(OTf)3-catalyzed intramolecular regioselective aminolysis of cis-3,4-epoxy amines
-
Mono-Carbonyl Curcumin Analogs for Cancer Therapy
Takashi MaruYama, Hiroyuki Yamakoshi, Yoshiharu Iwabuchi, Hiroyuki Shibata*Biol. Pharm. Bull. 2023, 46, 756–763

-
Asymmetric Total Synthesis of Cytotrienin A: Late-stage Installation of C11 Side Chain onto the Macrolactam Scaffold
Yuki Tateishi, Ryo Sato, Shingo Komatsu, Masatsugu Noguchi, Shota Nagasawa, Yusuke Sasano, Naoki Kanoh, Yoshiharu Iwabuchi*Angew. Chem. Int. Ed. 2023, e202303140

-
4-Chloro-2-azaadamantane N-Oxyl (4-Cl-AZADO): A Readily Preparable Organocatalyst for NOx Co-catalyzed Aerobic Alcohol Oxidation
-
Sequential click modification of a lithium-ion endohedral fullerene connecting small molecules through a dieneazide linker
Shogo Fujiki, Takumi Takada, Shota Nagasawa, Hiroshi Okada, Yusuke Sasano, Eusang Kwon, Yutaka Matsuo*, and Yoshiharu Iwabuchi*
-
Identification of the Optimal Framework for Nitroxyl Radical/Hydroxylamine in Copper-Cocatalyzed Aerobic Alcohol Oxidation
Masaki Toda, Yusuke Sasano, Masaya Takahashi, Shogo Fujiki, Koki Kasabata, Tetsuya Ono, Katsuhiko Sato, Yoshitomo Kashiharu, and Yoshiharu Iwabuchi*
2022
-
Enantiocontrolled Access to an Intermediate for Highly Functionalized Clovane-Type Terpenoids: Formal Synthesis of Rumphellclovane E
-
窒素原子を削除して分子骨格を「編集」する
-
Late-stage functionalizationを志向した芳香族C-H結合の直接的酸素化
-
The Utility of Oxoammonium Species in Organic Synthesis: Beyond Alcohol Oxidation
2021
-
Toward the Creation of Induced Pluripotent Small (iPS) Molecules: Establishment of a Modular Synthetic Strategy for the Heronamide C-type Polyene Macrolactams and Their Conformational and Reactivity Analysis
Naoki Kanoh, Yuta Terajima, Suguru Tanaka, Ryusei Terashima, Hiromichi Nishiyama, Shota Nagasawa, Yusuke Sasano, Yoshiharu Iwabuchi, Shinichi Nishimura, and Hideaki KakeyaJ. Org. Chem. 2021, 86, 16231-16248
-
Design, Synthesis and Antifungal Activity of 16,17-Dihydroheronamide C and ent-Heronamide
Naoki Kanoh, Ryusei Terashima, Hiromichi Nishiyama, Yuta Terajima, Shota Nagasawa, Yusuke Sasano, Yoshiharu Iwabuchi, Hiroaki Saito, Syusuke Egoshi, Kosuke Dodo, Mikiko Sodeoka, Chengqian Pan, Yoshinobu Ikeuchi, Shinichi Nishimura, and Hideaki KakeyaJ. Org. Chem., 2021, 86, 16249-16258
-
ortho-C-H Acetoxylation of Cubane Enabling Access to Cubane Analogues of Pharmaceutically Relevant Scaffolds
-
Chromium-Salen Complex/Nitroxyl Radical Cooperative Catalysis: A Combination for Aerobic Intramolecular Dearomative Coupling of Phenols
-
Expansion of Substrate Scope for Nitroxyl Radical/Copper-Catalyzed Aerobic Oxidation of Primary Alcohols: A Guideline for Catalyst Selection
Yusuke Sasano, Aoto Yamaichi, Ryota Sasaki, Shota Nagasawa, Yoshiharu Iwabuchi
selected as Front Cover PictureChem. Pharm. Bull., 2021, 69, 488-497

-
Synthetic Access to gem-Difluoropropargyl Vinyl Ethers and Their Application to Propargyl Claisen Rearrangement
Toshitaka Okamura, Kenta Koyamada, Junichiro Kanazawa, Kazunori Miyamoto, Yoshiharu Iwabuchi, Masanobu Uchiyama, and Naoki KanohJ. Org. Chem., 2021, 86, 1911-1914.

-
Highly Regioselective 5‐endo‐tet Cyclization of 3,4‐Epoxy Amines into 3‐Hydroxypyrrolidines Catalyzed by La(OTf)3
Yuse Kuriyama, Yusuke Sasano, Yoshihiko Hoshino, Shun-ichiro Uesugi, Aoto Yamaichi, Yoshiharu IwabuchiChem. Eur. J., 2021, 27, 1961-1965.

2020
-
The Synthetic Curcumin Analogue GO-Y030 Effectively Suppresses the Development of Pressure Overload-induced Heart Failure in Mice
Kana Shimizu, Yoichi Sunagawa, Masafumi Funamoto, Hiroki Wakabayashi, Mai Genpei, Yusuke Miyazaki, Yasufumi Katanasaka, Nurmila Sari, Satoshi Shimizu, Ayumi Katayama, Hiroyuki Shibata, Yoshiharu Iwabuchi, Hideaki Kakeya, Hiromichi Wada, Koji Hasegawa, Tatsuya MorimotoSci. Rep., 2020, 10, Article Number: 7172
2019
-
An integrated screening system for the selection of exemplary substrates for natural and engineered cytochrome P450s
Naoki Kanoh, Ayano Kawamata-Asano, Kana Suzuki, Yusuke Takahashi, Takeshi Miyazawa, Takemichi Nakamura, Takashi Moriya, Hiroyuki Hirano, Hiroyuki Osada, Yoshiharu Iwabuchi, Shunji TakahashiSci. Rep., 2019, 9, Article Number: 18023
-
Highly Chemoselective gem‐Difluoropropargylation of Aliphatic Alcohols
Toshitaka Okamura, Syusuke Egoshi, Kosuke Dodo, Mikiko Sodeoka, Yoshiharu Iwabuchi, Naoki KanohChem. Eur. J., 2019, 25, 16002-16006

-
Methyl‐Selective α‐Oxygenation of Tertiary Amines to Formamides by Employing Copper/Moderately Hindered Nitroxyl Radical (DMN‐AZADO or 1‐Me‐AZADO)
Satoru Nakai, Takafumi Yatabe,Kosuke Suzuki, Yusuke Sasano,Yoshiharu Iwabuchi, Jun-ya Hasegawa, Noritaka Mizuno,and Kazuya Yamaguchi*Angew. Chem. Int. Ed., 2019, 58, 16651-16559
-
Gold(I)-catalyzed Nicholas Reaction with Aromatic Molecules Utilizing a Bifunctional Propargyl Dicobalt Hexacarbonyl Complex
Toshitaka Okamura, Shogo Fujiki, Yoshiharu Iwabuchi and Naoki Kanoh
selected as Front Cover PictureOrg. Biomol. Chem., 2019, 17, 8522-8526

-
Ln(OTf)3-catalysed highly regioselective alcoholysis of 2,3-epoxy alcohols
-
Safe and Scalable Aerobic Oxidation by 2-Azaadamantan-2-ol (AZADOL)/NOx Catalysis: Large-Scale Preparation of Shi’s Catalyst
Yusuke Sasano, Hikaru Sato, Shinsuke Tadokoro, Masami Kozawa, and Yoshiharu Iwabuchi
2018
-
2-Azaadamantane N-oxyl (AZADO)/Cu Catalysis Enables Chemoselective Aerobic Oxidation of Alcohols Containing Electron-Rich Divalent Sulfur Functionalities
Yusuke Sasano, Naoki Kogure, Shota Nagasawa, Koki Kasabata, and Yoshiharu IwabuchiOrg. Lett., 2018, 20, 6104-6107

-
CuCl/TMEDA/nor-AZADO-catalyzed aerobic oxidative acylation of amides with alcohols to produce imides
Kengo Kataoka, Keiju Wachi, Xiongjie Jin, Kosuke Suzuki, Yusuke Sasano, Yoshiharu Iwabuchi, Jun-ya Hasegawa, Noritaka Mizuno and Kazuya YamaguchiChem. Sci., 2018, 9, 4756-4768
-
Curcumin analog, GO-Y078, overcomes resistance to tumor angiogenesis inhibitors
Kazuhiro Shimazu, Masahiro Inoue, Shunsuke Sugiyama, Koji Fukuda, Taichi Yoshida, Daiki Taguchi, Yoshihiko Uehara, Sei Kuriyama, Masamitsu Tanaka, Masatomo Miura, Hiroshi Nanjyo, Yoshiharu Iwabuchi, Hiroyuki ShibataCancer Science., 2018, 109, 3285-3293
-
Dietary intake of pyrolyzed deketene curcumin inhibits gastric carcinogenesis
Taichi Yoshida, Takashi Maruyama, Masatomo Miura, Masahiro Inoue, Koji Fukuda, Kazuhiro Shimazu, Daiki Taguchi, Hiroaki Kanda, Masanobu Oshima, Yoshiharu Iwabuchi, Hiroyuki ShibataJournal of Functional Foods , 2018, 50, 192-200
-
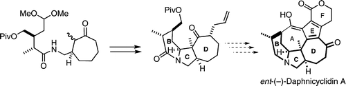
Stereocontrolled Construction of ABCD Tetracyclic Ring System with Vicinal All-Carbon Quaternary Stereogenic Centers of Calyciphylline A Type Alkaloids
Yusuke Sasano, Junpei Koyama, Kaori Yoshikawa, Naoki Kanoh, Eunsang Kwon, Yoshiharu IwabuchiOrg. Lett., 2018, 20, 3053-3056

-
Expedient Entry to 1-Aminoadamantane Derivatives via Aza-Prins Cyclization of 7-Methylenebicyclo[3.3.1]nonan-3-one Oximes
Tetsuya Kuga, Yusuke Sasano, Masaki Tomizawa, Masatoshi Shibuya, Yoshiharu IwabuchiSynthesis, 2018, 50, 1820-1826.

-
IBX as a Catalyst for Dehydration of Hydroperoxides: Green Entry to α,β-Unsaturated Ketones via Oxygenative Allylic Transposition
2017
-
Nazarov Cyclization Entry to Chiral Bicyclo[5.3.0]decanoid Building Blocks and Its Application to Formal Synthesis of (-)-Englerin A
Keisuke Morisaki, Yusuke Sasano, Takahiro Koseki, Takuro Shibuta, Naoki Kanoh, Wen-Hua Chiou, Yoshiharu IwabuchiOrg. Lett. 2017, 19, 5142-5145
.jpg)
-
Substrate Recognition by a Dual Functional P450 Monooxygenase GfsF Involved in FD-891 Biosynthesis
Akimasa Miyanaga, Ryuichi Takayanagi, Takashi Furuya, Ayano Kawamata, Tomohiro Itagaki, Yoshiharu Iwabuchi, Naoki Kanoh, Fumitaka Kudo, Tadashi EguchiChemBioChem. 2017, 18, 2179-2187
-
A Mild Two-Step Propargylation of Aromatic Bioactive Small Molecules
Naoki Kanoh, Toshitaka Okamura, Takahiro Suzuki, Yoshiharu IwabuchiOrg. Biomol. Chem. 2017, 15, 7190-7195.

-
Catalytic Oxygenative Allylic Transposition of Alkenes into Enones with an Azaadamantane-Type Oxoammonium Salt Catalyst
Shota Nagasawa, Yusuke Sasano, Yoshiharu Iwabuchi*
selected as Hot PaperChem. Eur.J. 2017, 23, 10276-10279.

-
Synthetic Analogs of Curcumin Modulate the Function of Multidrug Resistance?Linked ATP-Binding Cassette Transporter ABCG2
Megumi Murakami, Shinobu Ohnuma, Michihiro Fukuda, Eduardo E. Chufan, Katsuyoshi Kudoh, Keigo Kanehara, Norihiko Sugisawa, Masaharu Ishida, Takeshi Naitoh, Hiroyuki Shibata, Yoshiharu Iwabuchi, Suresh V. Ambudkar, Michiaki UnnoDrug Metab. Dispos 2017, 45, 1166-1177.
-
Concise, Protecting-Group-Free Synthesis of (+)-Nemonapride via Eu(OTf)3-Catalyzed Aminolysis of 3,4-Epoxy Alcohol
Shun-ichiro Uesugi, Yusuke Sasano, Shogo Matsui, Naoki Kanoh, Yoshiharu IwabuchiChem. Pharm. Bull. 2017, 65, 22-24.

2016
-
Reversibility of thia-Michael reaction of the cytotoxic C5-curcuminoid and structure-activity relationship of the bis-thiol- adducts thereof
Aki Kohyama, Michihiro Fukuda, Shunsuke Sugiyama, Hiroyuki Yamakoshi, Naoki Kanoh, Chikashi Ishioka, Hiroyuki Sh ibata and Yoshiharu IwabuchiOrg. Biomol. Chem. 2016, 14, 10683-10687.

-
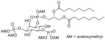
Design and synthesis of the penta(acetoxymethyl) ester of dioctanoyl phosphatidylinositol-3,5-bisphosphate
Naoki Kanoh, Kosuke Mano, Daisuke Saigusa, Takeo Usui, Yoshiharu IwabuchiBioorg. Med. Chem. Lett. 2016, 26, 5770-5772.

-
Synthesis of 1,3-Cycloalkadienes from Cycloalkenes: Unprecedented reactivity of Oxoammonium Salts
Shota Nagasawa, Yusuke Sasano, Yoshiharu Iwabuchi
highlighted in SYNFORM"Angew. Chem. Int. Ed. 2016, 55, 13189-13194.

-
Asymmetric Total Synthesis of Heronamides A-C: Stereochemical Confirmation and Impact of Long-range Stereochemical Communication on the Biological Activity
Naoki Kanoh, Shunya Itoh, Kohei Fujita, Kohei Sakanishi, Ryosuke Sugiyama, Yuta Terajima, Yoshiharu Iwabuchi, Shinichi Nishimura, and Hideaki KakeyaChem. Eur. J. 2016, 22, 8586-8595

-
Photo-Cross-Linked Small-Molecule Affinity Matrix as a Tool for Target Identification of Bioactive Small Molecules(From themed collection "Strategies for Cellular Target Identification of Natural Products")
-
Synthesis and structure-activity relationship study of FD-891: importance of the side chain and C8-C9 epoxide for cytotoxic activity against cancer cells
Tomohiro Itagaki, Ayano Kawamata, Miho Takeuchi, Keisuke Hamada, Yoshiharu Iwabuchi, Tadashi Eguchi, Fumitaka Kudo, Takeo Usui and Naoki KanohJ. Antibiot. 2016, 69, 287-293.

-
Vicenistatin induces early endosome-derived vacuole formation in mammalian cells
Yuko Nishiyama, Tomohiro Ohmichi, Sayaka Kazami, Sayaka Iwasaki, Kousuke Mano, Yoko Nagumo, Fumitaka Kudo, Sosaku Ichikawa, Yoshiharu Iwabuchi, Naoki Kanoh, Tadashi Eguchi, Hiroyuki Osada, and Takeo UsuiBiosci. Biotech. Biochem., 2016, 80, 902-910.
-
An enantiocontrolled entry to the tricyclic polar segment of (+)-fusarisetin A
-
Identification of anti-cancer chemical compounds using Xenopus embryos
Masamitsu Tanaka, Sei Kuriyama, Go Itoh, Aki Kohyama, Yoshiharu Iwabuchi, Hiroyuki Shibata, Masakazu Yashiro, Namiko AibaCancer Sci, 2016, 107, 803-811
-
A diarylpentanoid curcumin analog exhibits improved radioprotective potential in the intestinal mucosa
Koji Fukuda, Yoshihiko Uehara, Eiko Nakata, Masahiro Inoue, Kazuhiro Shimazu, Taichi Yoshida, Hiroaki Kanda, Hiroshi Nanjo, Yoshio Hosoi, Hiroyuki Yamakoshi, Yoshiharu Iwabuchi, Hiroyuki ShibataInternational Journal of Radiation Biology, 2016, 92, 388-394
-
A diarylpentanoid curcumin analog exhibits improved radioprotective potential in the intestinal mucosa
Koji Fukuda, Yoshihiko Uehara, Eiko Nakata, Masahiro Inoue, Kazuhiro Shimazu, Taichi Yoshida, Hiroaki Kanda, Hiroshi Nanjo, Yoshio Hosoi, Hiroyuki Yamakoshi, Yoshiharu Iwabuchi, Hiroyuki ShibataAnti-Cancer Agents in Medicinal Chemistry, 2016, 16, 633-647
-
Total Synthesis of the Proposed Structure of Turkiyenine
Hisataka Kobayashi, Yusuke Sasano, Naoki Kanoh, Eunsang Kwon, Yoshiharu IwabuchiEur. J. Org. Chem, 2016, 270-273

2015
-
Total Synthesis and Biological Evaluation of Irciniastatin A (a.k.a. Psymberin) and Irciniastatin B
Shun-ichiro Uesugi, Tsubasa Watanabe, Takamichi Imaizumi, Yu Ota, Keisuke Yoshida, Haruna Ebisu, Takumi Chinen, Yoko Nagumo, Masatoshi Shibuya, Naoki Kanoh, Takeo Usui, Yoshiharu IwabuchiJ. Org. Chem, 2015, 80, 12333-12350

-
Structure-Activity Relationships of the Antitumor C5-Curcuminoid GO-Y030
Aki Kohyama, Hiroyuki Yamakoshi, Shoko Hongo, Naoki Kanoh, Hiroyuki Shibata, Yoshiharu IwabuchiMolecules, 2015, 20,15374-15391

-
Irciniastatin A Induces a Potent and Sustained Activation of Extracellular Signal-regulated Kinase and Thereby Promotes Ectodomain Shedding of TNF Receptor 1 in Human Lung Carcinoma A549 Cells
Hue Tu Quach, Seiya Hirano, Tsubasa Watahabe, Naoki Kanoh, Yoshiharu Iwabuchi, Takeo Usui, Takao KataokaBiol. Pharm. Bull., 2015, 38, 941-946

-
化合物の標的タンパク質を検出するための技術
-
標的同定の迅速化を目指した生物活性リガンドの非古典的修飾・固相 担持法
-
Irciniastatin A, a pederin-type translation inhibitor, promotes ectodomain shedding of cell-surface tumor necrosis factor receptor 1
Seiya Hirano, Hue Tu Quach, Tsubasa Watanabe, Naoki Kanoh, Yoshiharu Iwabuchi, Takeo Usui, Takao KataokaJ Antibiot, 2015, 68, 417-420.

-
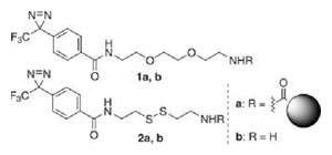
Third Generation Photo-Cross-Linked Small-Molecule Affinity Matrix: A Photoactivatable and Photocleavable System Enabling Quantitative Analysis of the Photo-Cross-Linked Small Molecules and Their Target Purification
Takahiro Suzuki, Toshitaka Okamura, Takenori Tomohiro, Yoshiharu Iwabuchi, Naoki KanohBioconjugate Chem, 2015, 26, 389-395

-
Highly Efficient Aerobic Oxidation of Alcohols by Using Less-Hindered Nitroxyl-Radical/Copper Catalysis: Optimum Catalyst Combinations and Their Substrate Scope
Yusuke Sasano, Naoki Kogure, Tomohiro Nishiyama, Shota Nagasawa, Yoshiharu IwabuchiChem, Asian J, 2015, 10, 1004-1009

-
Inhibition of β-catenin and STAT3 with a curcumin analog suppresses gastric carcinogenesis in vivo
Yoshihiko Uehara, Masahiro Inoue, Koji Fukuda, Hiroyuki Yamakoshi, Yoshio Hosoi, Hiroaki Kanda, Masanobu Oshima, Yoshiharu Iwabuchi, Hiroyuki ShibataGastric Cancer, 2015, 18, 774-783

-
Development of an Azanoradamantane-Type Nitroxyl Radical Catalyst for Class-Selective Oxidation of Alcohols
Ryusuke Doi, Masatoshi Shibuya, Tsukasa Murayama, Yoshihiko Yamamoto, Yoshiharu IwabuchiJ. Org. Chem, 2015, 80, 401−413

2014
-
Highly Enantioselective Organocatalytic Oxidative Kinetic Resolution of Secondary Alcohols Using Chiral Alkoxyamines as Precatalysts: Catalyst Structure, Active Species, and Substrate Scope
Keiichi Murakami, Yusuke Sasano, Masaki Tomizawa, Masatoshi Shibuya, Eunsang Kwon, Yoshiharu IwabuchiJ. Am. Chem. Soc., 2014, 136, 17591-17600

-
Mechanistic Insight into Aerobic Alcohol Oxidation Using NOx-Nitroxide Catalysis Based on Catalyst Structure-Activity Relationships
Masatoshi Shibuya, Shota Nagasawa, Yuji Osada, Yoshiharu IwabuchiJ. Org. Chem, 2014, 79, 10256-10268

-
Structure-function analyses of cytochrome P450revI involved in reveromycin A biosynthesis and evaluation of the biological activity of its substrate, reveromycin T
Shunji Takahashi, Shingo Nagano, Toshihiko Nogawa, Naoki Kanoh, Masakazu Uramoto, Makoto Kawatani, Yoshitsugu Shiro, Hiroyuki OsadaJ. Biol. Chem. , 2014, 289, 32446-32458
-
A Concise and Unified Strategy for Synthesis of the C1-C18 Macrolactone Fragments of FD-891, FD-892 and Their Analogues: Formal Total Synthesis of FD-891
Naoki Kanoh, Ayano Kawamata, Tomohiro Itagaki, Yuta Miyazaki, Kenzo Yahata, Eunsang Kwon, Yoshiharu IwabuchiOrg, Lett, 2014, 16, 5216-5219

-
Eu(OTf)3-Catalyzed Highly Regioselective Nucleophilic Ring Opening of 2,3-Epoxy Alcohols: An Efficient Entry to 3-Substituted 1,2-Diol Derivatives
Shun-ichiro Uesugi, Tsubasa Watanabe, Takamichi Imaizumi, Masatoshi Shibuya, Naoki Kanoh, Yoshiharu IwabuchiOrg, Lett, 2014, 16, 4408-4411.

-
Strong inhibitory effects of curcumin and its demethoxy analog on Escherichia coli ATP synthase F1 sector
Mizuki Sekiya, Eiko Chiba, Momoe Satoh, Hiroyuki Yamakoshi, Yoshiharu Iwabuchi, Masamitsu Futai, Mayumi Nakanishi-MatsuiInternational Journal of Biological Macromolecules, 2014, 40, 241-245.
-
Highly Chemoselective Aerobic Oxidation of Amino Alcohols into Amino Carbonyl Compounds
Yusuke Sasano, Shota Nagasawa, Mai Yamazaki, Masatoshi Shibuya, Jaiwook Park, Yoshiharu IwabuchiAngew. Chem. Int. Ed., 2014, 53, 3236-3240.

-
Enantioselective Intramolecular Aza-Spiroannulation onto Benzofurans Using Chiral Rhodium Catalysis
Takuro Shibuta, Shigeki Sato, Masatoshi Shibuya, Naoki Kanoh, Tohru Taniguchi, Kenji Monde, Yoshiharu IwabuchiHeterocycles, 2014, 89, 631-639.

-
Total Synthesis of the Proposed Structure of Heronamide C
Kohei Sakanishi, Shunya Itoh, Ryosuke Sugiyama, Shinichi Nishimura, Hideaki Kakeya, Yoshiharu Iwabuchi, Naoki KanohEur. J. Org. Chem., 2014, 1376-1380.

2013
-
Discovery and Exploitation of AZADO: The Highly Active Catalyst for Alcohol Oxidation (Review)
-
An Improved Fluorogenic NAD(P)+ Detection Method Using 2-Acetylbenzofuran: Its Origin and Application
Takashi Moriya, Ayano Kawamata, Yusuke Takahashi, Yoshiharu Iwabuchi, Naoki KanohChem. Commun., 2013, 49, 11500-11502.

-
3-Methyl-4-Oxa-5-Azahomoadamantane: Alkoxyamine-Type Organocatalyst for Alcohol Oxidation
Yusuke Sasano, Keiichi Murakami, Tomohiro Nishiyama, Eunsang Kwon, Yoshiharu IwabuchiAngew. Chem. Int. Ed., 2013, 52, 12624-12627.

-
On the Origin of cine-Substitution in the Stille Coupling of Trisubstituted Iodoalkene and trans-Vinylstannane
Naoki Kanoh, Yutaro Ohno, Tomohiro Itagaki, Hayato Fukuda, Yoshiharu Iwabuchi
-
TEG scanning を用いた破骨細胞分化阻害剤メチルゲルフェリンの多次元的構造活性相関
-
C-H MODIFICATION OF 2-AZAADAMANTANE: SYNTHESIS OF C5-FUNCTIONALIZED AZADOS FOR ADVANCED USE
Yusuke Sasano, Tomohiro Nishiyama, Masaki Tomizawa, Masatoshi Shibuya, Yoshiharu IwabuchiHeterocycles, 2013, 87,2109-2118.

-
有機ニトロキシルラジカルの反応性制御に基づく効率的アルコール空気酸化反応の開発
-
Concise Entry to Chiral 5-(4-Hydroxybutyl)-2(5H)-furanone via HTIB-Mediated Novel Oxidative Fragmentation: Formal Total Synthesis of (+)-Dubiusamine A
-
Dual structure-activity relationship of osteoclastogenesis inhibitor methyl gerfelin based on TEG scanning
Naoki Kanoh, Takahiro Suzuki, Makoto Kawatani, Yasuhiro Kato, Hiroyuki Osada, Yoshiharu IwabuchiBioconjugate Chem. 2013, 24, 44-52.

2012
-
Nitroxyl Radical/PhI(OAc)2: One-Pot Oxidative Cleavage of Vicinal Diols to (Di)Carboxylic Acids
Masatoshi Shibuya, Takuro Shibuta, Hayato Fukuda, and Yoshiharu IwabuchiOrg. Lett. 2012, 14, 5010-5013.

-
Organocatalytic One-Pot Oxidative Cleavage of Terminal Diols to Dehomologated Carboxylic Acids
Masatoshi Shibuya, Ryūsuke Doi, Takuro Shibuta, Shun-ichiro Uesugi, and Yoshiharu IwabuchiOrg. Lett. 2012, 14, 5006-5009.

-
Synthesis and Structure-Activity Relationship of Vicenistatin, a Cytotoxic 20-Membered Macrolactam Glycoside
Hayato Fukuda, Yuko Nishiyama, Shiina Nakamura, Yutaro Ohno, Tadashi Eguchi, Yoshiharu Iwabuchi, Takeo Usui, Naoki KanohChem. Asian. J. 2012, 7, 2872-2881.

-
Catalytic Oxidation of Silyl Enol Ethers to 1,2-Diketones Employing Nitroxyl Radicals
-
Oxidation of Alcohols to Carbonyl Compounds with Diisopropyl Azodicarboxylate Catalyzed by Nitroxyl Radicals
-
Oxidation of Nitroxyl Radicals: Electrochemical and Computational Studies
Masatoshi Shibuya, Fabio Pichierri, Masaki Tomizawa, Shota Nagasawa, Iwao Suzuki, Yoshiharu IwabuchiTetrahedron Lett. 2012, 53,2070-2073.

-
Oxidative Conversion of Silyl Enol Ethers to α,β-Unsaturated Ketones Employing Oxoammonium Salts
2011
-
9-Azanoradamantane N-Oxyl (Nor-AZADO): A Highly Active Organocatalyst for Alcohol Oxidation
Masaki Hayashi, Yusuke Sasano, Shota Nagasawa, Masatoshi Shibuya, Yoshiharu IwabuchiChemical & Pharmaceutical Bulletin 2011, 59, 1570-1573.

-
Practical preparation methods for highly active azaadamantane-nitroxyl-radical-type oxidation catalysts
Masatoshi Shibuya, Yusuke Sasano, Masaki Tomizawa, Toshimasa Hamada, Masami Kozawa, Noriaki Nagahama, Yoshiharu Iwabuchi
-
Novel Curcumin Analogs, GO-Y030 and GO-Y078, Are Multi-targeted Agents with Enhanced Abilities for Multiple Myeloma
Chieko Kudo, Hiroyuki Yamakoshi, Atsuko Sato, Hisatsugu Ohori, Chikashi Ishioka , Yoshiharu Iwabuchi, Hiroyuki ShibataCancer Science 2011, 102, 1045-1051.
-
Detection of cytochrome P450 substrates using a small-molecule droplet array on an NADH-immobilized solid surface
Hiroshi Takayama, Shunji Takahashi, Takashi Moriya, Hiroyuki Osada, Yoshiharu Iwabuchi, Naoki KanohChemBioChem 2011, 12, 2748-2752.

-
High-Performance Liquid Chromatography with Photodiode Array Detection for Determination of Nobiletin Content in the Brain and Serum of Mice Administrated the Natural Compound
Daisuke Saigusa, Masatoshi Shibuya, Daisuke Jinno, Hiroyuki Yamakoshi, Yoshiharu Iwabuchi, Akihito Yokosuka, Yoshihiro Mimaki, Akira Nganuma, Yasushi Ohizumi, Yoshihisa Tomioka, Tohru YamakuniAnal. Bioanal. Chem. 2011, 400, 3635-3641.
-
Targeting Colon Cancer Stem Cells Using a New Curcumin Analogue, GO-Y030
L. Lin, Y Liu, P-K. Li, J. Fuchs, H. Shibata, Y. Iwabuchi, and J. LinBritish J. Cancer 2011, 105, 212-220.
-
Synthesis of 86 Species of 1,5-Diaryl-3-oxo-1,4-pentadienes Analogs of Curcumin can Yield a Good Lead in Vivo
Chieko Kudo, Hiroyuki Yamakoshi, Atsuko Sato, Hiroshi Nanjo, Hisatsugu Ohori, Chikashi Ishioka, Yoshiharu Iwabuchi, Hiyoyuki Shibata
-
Highly Efficient, Organocatalytic Aerobic Alcohol Oxidation
Masatoshi Shibuya, Yuji Osada, Yusuke Sasano, Masaki Tomizawa, Yoshiharu IwabuchiJ. Am. Chem. Soc. 2011, 133, 6497-6500.

-
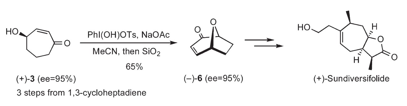
Concise Entry to Both Enantiomers of 8-Oxabicyclo[3.2.1]oct-3-en-2-one Based on Novel Oxidative Etherification: Formal Synthesis of (+)Sundiversiforide
-
Asymmetric Total Syhthesis of (-)-Scabronine G via Intramolecular Double Michael Reaction and Prins Cyclization
Naoki Kanoh, Kohei Sakanishi, Emiko Iimori, Ken'ichi Nishimura, and Yoshiharu IwabuchiOrg. Lett. 2011, 13,2864-2867.

-
Curcumin analog GO-Y030 is a novel inhibitor of IKKβ that suppresses NF-κB signaling and induces apoptosis
Atsuko Sato, Chieko Kudo, Hiroyuki Yamakoshi, Yoshihiko Uehara, Hisatsugu Ohori, Chikashi Ishioka, Yoshiharu Iwabuchi, Hiroyuki ShibataCancer Science 2011, 102,1045-1051.
-
Preparation of Photo-Cross-Linked Small Molecule Affinity Matrices for Affinity Selection of Protein Targets for Biologically Active Small Molecules
Hiroshi Takayama, Takashi Moriya, Naoki Kanoh
-
化合物アレイを起点としたケミカルバイオロジー ~化合物アレイの基盤技術開発から機能未知タンパク質の機能解析まで~
2010
-
An Enantio- and Diastereocontrolled Synthesis of (-)-Salinosporamide A
Yosuke Sato, Hayato Fukuda, Masaki Tomizawa, Tomohito Masaki, Masatoshi, Shibuya, Naoki Kanoh, and Yoshiharu IwabuchiHeterocycles 2010, 81, 2239-2245.

-
KSRP/FUBP2 Is a Binding Protein of GO-Y086, a Cytotoxic Curcumin Analogue
Hiroyuki Yamakoshi, Naoki Kanoh, Chieko Kudo, Atsuko Sato, Kazunori Ueda, Makoto Muroi, Shunsuke Kon, Masanobu Satake, Hisatsugu Ohori, Chikashi Ishioka, Yoshiteru Oshima, Hiroyuki Osada, Natsuko Chiba, Hiroyuki Shibata, Yoshiharu IwabuchiACS Med. Chem. Lett. 2010, 1 273-276.

-
Irciniastatin A induces JNK activation that is involved in caspase-8-dependent apoptosis via the mitochondrial pathway
Takumi Chinen, Yoko Nagumo, Tsubasa Watanabe, Takamichi Imaizumi, Masatoshi Shibuya, Takao Kataoka, Naoki Kanoh, Yoshiharu Iwabuchi, Takeo UsuiToxicol. Lett. 2010, 199, 341-346.
-
Concise Total Synthesis of Vicenistatin
Hayato Fukuda, Shiina Nakamura, Tadashi Eguchi, Yoshiharu Iwabuchi, Naoki Kanoh
-
Syntheses and Biological Evaluation of Irciniastatin A and the C1-C2 Alkyne Analogus
Tsubasa Watanabe, Takamichi Imaizumi, Takumi Chinen, Yoko Nagumo, Masatoshi Shibuya, Takeo Usui, Naoki Kanoh, and Yoshiharu IwabuchiOrg. Lett. 2010, 12, 1040-1043.

-
Total Synthesis and Determination of the Absolute Configuration of (-)-Idesolide
Hiroyuki Yamakoshi, Masatoshi Shibuya, Masaki Tomizawa, Yuji Osada, Naoki Kanoh, and Yoshiharu Iwabuchi
-
Structure-Activity Relationship of C5-Curcuminoids and Synthesis of their Molecular Probes Thereof
Hiroyuki Yamakoshi, Hisatsugu Ohori, Chieko Kudo, Atsuko Sato, Naoki Kanoh, Chikashi Ishioka, Hiroyuki Shibata, and Yoshiharu IwabuchiBioorg. Med. Chem. 2010, 18, 1083-1092.
-
Cleavable Linker for Photo-Cross-Linked Small-Molecule Affinity Matrix
Naoki Kanoh, Hiroshi Takayama, Kaori Honda, Takashi Moriya, Takayuki Teruya, Siro Simizu, Hiroyuki Osada, Yoshiharu IwabuchiBioconjugate Chem 2010, 21, 182.

-
光親和型小分子固定化を利用した小分子ー蛋白質間相互作用スクリーニングプラットフォーム
-
有機合成化学を基盤とした天然有機化合物のケミカルバイオロジー
-
第7章 各種バイオチップ 第4節 化合物チップ
-
Construction of Photo-Cross-Linked Microarrays of Small Molecules
2009
-
Syntheses of Naturally Occurring Cytotoxic[7.7]paracyclophanes, (-)-Cylindrocyclophane A and its Enantiomer, and Implications for Biological Activity
Hiroyuki Yamakoshi, Fumiya Ikarashi, Masataka Minami, Masatoshi Shibuya, Tsutomu Sugahara, Naoki Kanoh, Hisatsugu Ohori, Hiroyuki Shibata and Yoshiharu IwabuchiOrg. Biomol. Chem. 2009, 7 3772-3781.

-
Highly Enantioselective Intramolecular Aza-Spiroannulation onto Indoles Using Chiral Rhodium Catalysis: Asymmetric Entry to the Spiro-β-lactam Core of Chartellines
-
An Expedient Route to a Potent Gastrin/CCK-B Receptor Antagonist (+)-AG-041R
Shigeki Sato, Masatoshi Shibuya, Naoki Kanoh, and Yoshiharu IwabuchiJ. Org. Chem. 2009, 74 7522-7524.

-
4'-Demethylnobiletin, a Bioactive Metabolite of Nobiletin Enhancing PKA/ERK/CREB Signaling, Rescues Learning Impairment Associated with NMDA Receptor Antagonism via Stimulation of the ERK Cascade
Md. Al Rahim, Akira Nakajima, Daisuke Saigusa, Naomi Tetsu, Yuji Maruyama, Masatoshi Shibuya, Hiroyuki Yamakoshi, Yoshihisa Tomioka, Yoshiharu Iwabuchi, Yasushi Ohizumi, and Tohru YamakuniBiochemistry. 2009, 48 7713-7721.
-
Activation of Endothlial Nitric Oxide Synthase by a Vanadium Compound Ameliorates Pressure Overload-Induced Cardiac Injury in Ovariectomized Rats
Md. Shenuarin Bhulyan, Norifumi Shioda, Masatoshi Shibuya, Yoshiahru Iwabuchi, and Kohji Fukunaga
-
An Expeditious Entry to 9-Azabicyclo[3.3.1]nonane N-Oxyl (ABNO): Another Highly Active Organocatalysts for Oxidation of Alcohols
Masatoshi Shibuya, Masaki Tomizawa, Yusuke Sasano, and Yoshiharu IwabuchiJ. Org. Chem. 2009, 74, 4619-4622.

-
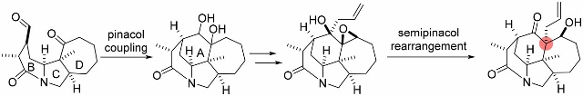
Synthetic Studies on Daphnicyclidin A: Enantiocontrolled Construction of the BCD Ring System
Shuhei Ikeda, Masatoshi Shibuya, Naoki Kanoh, and Yoshiharu IwabuchiOrg. Lett. 2009, 11, 1833-1836.

-
Highly Enantioselective Organocatalytic Oxidative Kinetic Resolution of Secondary Alcohols Using Chirally Modified AZADOs
-
Curcumin analogue GO-Y030 inhibits STAT3 activity and cell growth in breast and pancreatic carcinomas
Brian Hutzen, Lauren Friedman, Matthew Sobo, Li Lin, Ling Cen, Stephanie De Angelis, Hiroyuki Yamakoshi, Hiroyuki Shibata, Yoshiharu Iwabuchi, Jiayuh LinJournal of Oncology 2009, 35, 867-872.
-
Newly Synthesized Curcumin Analog Has Improved Potential to Prevent Colorectal Carcinogenesis In Vivo
Hiroyuki Shibata, Hiroyuki Yamakoshi, Atsuko Sato, Hisatsugu Ohori, Yuichi Kakudo, Chieko Kudo, Yayoi Takahashi, Mika Watanabe, Hiroshi Takano, Chikashi Ishioka, Tetsuo Noda, Yoshiharu IwabuchiCancer Science 2009, 100, 956-960.
-
Oxoammonium Salt/NaClO2: an Expedient, Catalytic System for One-Pot Oxidation of Primary Alcohols to Carboxylic Acids with Broad Substrate Applicability
Masatoshi Shibuya, Takahisa Sato, Masaki Tomizawa, and Yoshiharu IwabuchiChem. Commun. 2009, 1739-1741.

-
Structure-Affinity Relationship Study of Bleomycins and Shble Protein by Use of a Chemical Array
Isao Miyazaki, Hideo Okumura, Siro Simizu, Yoshikazu Takahashi, Naoki Kanoh, Yasuhiko Muraoka, Yoshiaki Nonomura, Hiroyuki Osada
-
Recent Advances and Developments of Small Molecule Microarrays
2008
-
Distribution of Photo-Cross-Linked Products from 3-Aryl-3-trifluoromethy ldiazirines and Alcohols
Naoki Kanoh, Takemichi Nakamura, Kaori Honda, Hiroyuki Yamakoshi, Yoshiharu Iwabuchi, Hiroyuki OsadaTetrahedron 2008, 64, 5692-5698.

-
TEMPO/NaIO4-SiO2: A Catalytic Oxidative Reattangement of Tertiary Allylic Alcohols to β-Substituted α,β-Unsaturated Ketones
-
Oxidative Rearrangement of Tertiary Allylic Alcohols Employing Oxoammnonium Salts
-
Flexible Access to Monoterpenoid Indole Alkaloids Using a Cyclopentanoid Chiral Building Block
Masato Hayashi, Keiichi Motosawa, Atsushi Satoh, Masatoshi Shibuya, Kunio Ogasawara, and Yoshiharu IwabuchiHeterocycles 2008, 77, 855-863.

-
Efficient Entry to the Pyrroloquinoline Core of Martinella Alkaloids via Novel Base-catalyzed Mukaiyama-Mannich Reaction
-
Chemoenzymatic Preparation of Functionalized bicyclo[3.2.1]octenone and Practical Utilization
Shinichiro Ito, Ayako Tosaka, Keisuke Hanada, Masatoshi Shibuya, Kunio Ogasawara, and Yoshiharu IwabuchiTetrahedron: Asymmetry 2008, 19, 176-185.

-
The identification of an osteoclastogenesis inhibitor through the inhibition of glyoxalase I
Makoto Kawatani, Hideo Okumura, Kaori Honda, Naoki Kanoh, Makoto Muroi, Naoshi Dohmae, Masamichi Takami, Mitsuhiro Kitagawa, Yushi Futamura, Masaya Imoto, Hiroyuki OsadaProc. Natl. Acad. Sci. USA 2008, 105 11691.

2007
-
Cytoprotective effect of bis(1-oxy-2-pyridinethiolato)oxovanadiun(IV) on myocardial ischemia/reperfusion injury elicits inhibition of Fas ligand and Bim expression and elevation of FLIP expression
Md. Shenuarin Bhuiyan, Masatoshi Shibuya, Norifumi Shioda, Shigeki Moriguchi, Jiro Kasahara, Yosiharu Iwabuchi, Kohji FukunagaEuropian Journal of Pharmacology 2007, 571, 180-188.
-
Asymmetric Total Synthesis of Martinelline and Martinellic Acid
-
Synthesis of an Enantiomeric DNA oligomer and its T-Hg(II)-T Base-pair Formation
Kaichiro Haruta, Yoshiyuki Tanaka, Takuya Kawamura, Yoshinori Kondo, Akira Ono, Hiroyuki Yamakoshi, Naoki Kanoh, Yoshiharu IwabuchiNucleic Acids Symposium Siries. 2007, 51, 187-188.

-
Enantio- and Diastereocontrolled Synthesis of (+)-Juvabione employing Organocatalytic Desymmetrisation and Photoinduced Fragmentation
-
第10章 低分子アレイ
Siro Simizu, Isao Miyazaki, Yasumitsu Kondoh, Naoki Kanoh, Hiroyuki Osadain マイクロアレイ・バイオチップの最新技術 (Ed.: Y. Ito), CMC press, Tokyo, 2007, pp. 229-239.

-
化合物アレイを用いた低分子-タンパク質相互作用の検出
Akiko Saito, Naoki Kanoh, Hiroyuki Osadain 実験医学別冊 分子間相互作用解析ハンドブック(Ed.: 磯辺俊明、中山敬一、伊藤隆司), Yodosha, Tokyo, 2007, pp. 225-229.

-
第6章 小分子チップ
2006
-
Synthesis and Biological Analysis of New Curcumin Analogues Bearing and Enhanced Petential for the Medicinal Treatment of Cancer
Hisatsugu Ohori, Hiroyuki Yamakoshi, Masaki Tomizawa, Masatoshi Shibuya, Yuikchi Kakudo, Atsuko Takahashi, Shin Takahashi, Satoshi Kato, Takao Suzuki, Chikashi Ishioka, Yoshiharu Iwabuchi, and Hiroyuki ShibataMol. Cancer Ther. 2006, 5, 153-159.
-
Total Synthesis of (-)-Dihydrocorynantheol Using Bicyclo[3.2.1]octenone Chiral Building Block
Ayako Tosaka, Shinichiro Ito, Norio Miyazawa, Masatoshi Shibuya, Kunio Ogasawra, and Yoshiharu IwabuchiHeterocycles 2006, 70, 2563-2571.

-
2-Azaadamantane N-Oxyl (AZADO) and 1-Me-AZADO: Highly Efficient Organocatalysts for Oxidation of Alcohols
Masatoshi Shibuya, Masaki Tomizawa, Iwao Suzuki, Yoshiharu IwabuchiJ. Am. Chem. Soc. 2006, 128, 8412-8413.

2005
-
Expedient Synthesis of PotentCannabinoid Receptor Agonist (-)-CP55,940
-
Oganocatalytic Entry to Chiral Bicyclo [3.n.1] alkanones via Direct Asymmetric Intramolecular Aldolization
2004
-
Oxidative Rearrangement of Cyclic Tertiary Allylic Alcohols with IBX in DMSO
Masatoshi Shibuya, Shinichiro Ito, Machiyasu Takahashi, and Yoshiharu IwabuchiOrg. Lett. 2004, 6, 4303-4306.

-
Total Synthesis and Absolute Stereochemistry of Pentenocin B, a Novel Interleukin-1β Converting Enzyme Inhibitor






































